rf-frostzone.ru
rf-frostzone.ru

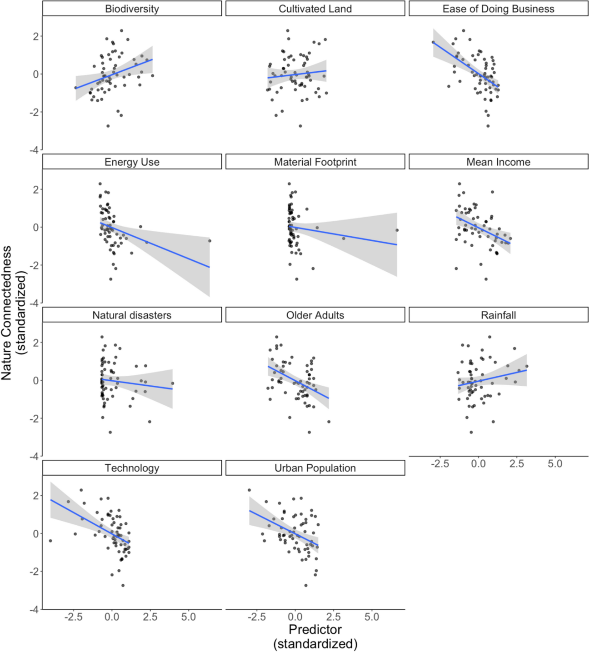
Macro-level determinants of nature connectedness an exploratory analysis of 61 countries (90) 사진

Britain ranks 55th in global nature connection study | Edd Moore posted on  the topic | LinkedIn

Exploring how distribution pattern of urban green space relates to  accessibility, utilization and health: Diagnostic planning for sustainable  city living in KMC, India - ScienceDirect

Britain ranks 55th in global nature connection study | Edd Moore posted on  the topic | LinkedIn

PDF) Macro-level determinants of nature connectedness: An exploratory  analysis of 61 countries

From Sustainability to Regeneration: The Transformation of Techno-Economic  Paradigms[v1] | Preprints.org

Environmental and Health Benefits: A Bibliometric and Knowledge Mapping  Analysis of Research Progress

Chapter 7: Health, Wellbeing and the Changing Structure of Communities |  Climate Change 2022: Impacts, Adaptation and Vulnerability

Environmental Frames: Exploring Culture in Socio-Ecological Systems  (SES)-Journal of Sustainability Research-Hapres

Ambio - A Journal of Environment and Society | LinkedIn

Miles Richardson (@findingnature) / Posts / X

Macro-level determinants of nature connectedness: An exploratory analysis  of 61 countries | Ambio

Threats of COVID-19 arouse public awareness of climate change risks:  iScience

PDF) Applying the pathways to nature connectedness at a societal scale: a  leverage points perspective

Understanding the uneven spread of COVID-19 in the context of the global  interconnected economy | Scientific Reports

How does the tourist experience affect the conservation of World Heritage  Sites via the stimulus‒organism‒response model? Mount Sanqingshan National  Park, China | npj Heritage Science

Understanding the Global Decline in Nature Connectedness

Spanning the industrial symbiosis within the circular economy: Critical  issues and future research agenda - Palagonia - 2025 - Journal of  Industrial Ecology - Wiley Online Library

Social determinants of health - Wikipedia

Infrastructure and health: the salutogenic approach, interdisciplinarity  and new challenges for planning and design - ScienceDirect

The Social Side of Biodiversity Loss: A Review of Individual, Collective,  and Structural Drivers in Coastal Regions

Inequalities in Sub-Saharan Africa by World Bank Publications - Issuu

Miles Richardson (@findingnature) / Posts / X

Chapter 18: Climate Resilient Development Pathways | Climate Change 2022:  Impacts, Adaptation and Vulnerability

Frontiers | Determinants of COVID-19 vaccination coverage in European and  Organisation for Economic Co-operation and Development (OECD) countries

ALERT!! ANTI- ANTI-DEPRESSANTS DURING HOT WEATHER If you are taking:  -Sertraline -Citalopram -Duloxetine Fluoxetine Mirtazapine or any oother  SNRI SNRI/SRRI You are more prone to overheating and dehydation. Please  stay safe in

Country-level factors in a failing relationship with nature: Nature  connectedness as a key metric for a sustainable future | Ambio | Springer  Nature Link

Three Models for IC and NR Relationship | Download Scientific Diagram

A Growing Disconnection From Nature Is Evident in Cultural Products - Selin  Kesebir, Pelin Kesebir, 2017

Chapter 18: Climate Resilient Development Pathways | Climate Change 2022:  Impacts, Adaptation and Vulnerability

Free Riding, Network Effects, and Burden Sharing in Defense Cooperation  Networks | International Organization | Cambridge Core

From Sustainability to Regeneration: The Transformation of Techno-Economic  Paradigms[v1] | Preprints.org

Is Tourism Becoming More Globally Interconnected or Regionally  Concentrated? A Network Analysis Approach - Katarzyna Burzynska, Usman  Khalid, Luke Emeka Okafor, 2025

Environmental Frames: Exploring Culture in Socio-Ecological Systems  (SES)-Journal of Sustainability Research-Hapres

🌱 Ireland is one of the least nature-connected nations in the world,  according to one of the first ever global studies of how people relate to  the natural world. 🌳 We have

Publisher Correction: Macro-level determinants of nature connectedness: An exploratory  analysis of 61 countries | Ambio | Springer Nature Link

Understanding the Global Decline in Nature Connectedness

🌱 Ireland is one of the least nature-connected nations in the world,  according to one of the first ever global studies of how people relate to  the natural world. 🌳 We have

Chapter 18: Climate Resilient Development Pathways | Climate Change 2022:  Impacts, Adaptation and Vulnerability

Full article: Exploring Enablers of Pro-Sustainability Behaviors of Top  Management in a Global Context

Threats of COVID-19 arouse public awareness of climate change risks:  iScience

Information and sensitization – Silene

Nature and mental health: An ecosystem service perspective | Science  Advances

Frontiers | Dynamics of street environmental features and emotional  responses in urban areas: implications for public health and sustainable  development

What Did the Biophilia Hypothesis Get Wrong? | Psychology Today Singapore

PDF] Mother Earth kinship: Centering Indigenous worldviews to address the  Anthropocene and rethink the ethics of human-to-nature connectedness. |  Semantic Scholar

Miles Richardson (@findingnature) / Posts / X

Chapter 7: Health, Wellbeing and the Changing Structure of Communities |  Climate Change 2022: Impacts, Adaptation and Vulnerability

This week we read something heartbreaking that’s stuck in our minds.., A  new global study published in Ambio ranks Ireland among the least  nature-connected nations in the world. For a country ...

From Sustainability to Regeneration: The Transformation of Techno-Economic  Paradigms[v1] | Preprints.org

Miles Richardson (@findingnature) / Posts / X

Macro-level determinants of nature connectedness: An exploratory analysis  of 61 countries | Ambio

PDF) Applying the pathways to nature connectedness at a societal scale: a  leverage points perspective

PDF] Mother Earth kinship: Centering Indigenous worldviews to address the  Anthropocene and rethink the ethics of human-to-nature connectedness. |  Semantic Scholar

How cultural values influence sustainable consumption behavior? An  empirical investigation in a non‐Western context - Vighnesh - 2023 -  Sustainable Development - Wiley Online Library

🌱 Ireland is one of the least nature-connected nations in the world,  according to one of the first ever global studies of how people relate to  the natural world. 🌳 We have

🌱 Ireland is one of the least nature-connected nations in the world,  according to one of the first ever global studies of how people relate to  the natural world. 🌳 We have

Encouraging Environmental Commitment to Sustainability: An Empirical Study  of Environmental Connectedness Theory to Undergraduate Students

Environmental and Health Benefits: A Bibliometric and Knowledge Mapping  Analysis of Research Progress

Know Me, See Me, Hear Me: A Scoping Review of the Attitudes and Approaches  to Relationships and Sexuality Education for Autistic Individuals and Their  Families | Autism in Adulthood

Nature and mental health: An ecosystem service perspective | Science  Advances

From Sustainability to Regeneration: The Transformation of Techno-Economic  Paradigms[v1] | Preprints.org

Frontiers | Determinants of COVID-19 vaccination coverage in European and  Organisation for Economic Co-operation and Development (OECD) countries

Associations between green/blue spaces and mental health across 18 countries  | Scientific Reports

Bridging Sustainability and Inclusion: Financial Access in the  Environmental, Social, and Governance Landscape

A systematic review of individual, social, and societal resilience factors  in response to societal challenges and crises | Communications Psychology

Cathy Fitzgerald. Haumea Ecoversity | Borris

Looking inside the panarchy: reorganisation capabilities for food supply  chain resilience against geopolitical crises - ScienceDirect

Associations between green/blue spaces and mental health across 18 countries  | Scientific Reports

Edinburgh Research Explorer

Associations between green/blue spaces and mental health across 18 countries  | Scientific Reports

The Associative Effects and Design Implications of Urban Built Environment  on the Physical and Mental Recovery of Older Adults in China: Bibliometric  and Meta-Analysis

From Sustainability to Regeneration: The Transformation of Techno-Economic  Paradigms[v1] | Preprints.org

The Associative Effects and Design Implications of Urban Built Environment  on the Physical and Mental Recovery of Older Adults in China: Bibliometric  and Meta-Analysis

Environmental Frames: Exploring Culture in Socio-Ecological Systems  (SES)-Journal of Sustainability Research-Hapres

Nature Connectedness and Nature Exposure Interactively Influence Social  Dominance Orientation and Policy Support for Marginalized Groups during the  COVID-19 Pandemic - Henry Kin Shing Ng, Angel Nga Man Leung, 2022

Climate actions on the neighbourhood level—Individual, collective,  cultural, and socio-structural factors

From Sustainability to Regeneration: The Transformation of Techno-Economic  Paradigms[v1] | Preprints.org

NHESS - Polarization in Flood Risk Management? Sensitivity of Norm  Perception and Responsibility Attribution to Frequent Flood Experience

Miles Richardson (@findingnature) / Posts / X

🌱 Ireland is one of the least nature-connected nations in the world,  according to one of the first ever global studies of how people relate to  the natural world. 🌳 We have

Environmental Frames: Exploring Culture in Socio-Ecological Systems  (SES)-Journal of Sustainability Research-Hapres

How Climate Change Anxiety Enhances Sustainable Trust and Consumption  Behavior: Evidence From Vietnam and Italy - Nguyen - 2025 - Business  Strategy & Development - Wiley Online Library

Macro-level determinants of nature connectedness: An exploratory analysis  of 61 countries | Ambio

Understanding the Global Decline in Nature Connectedness

Looking inside the panarchy: reorganisation capabilities for food supply  chain resilience against geopolitical crises - ScienceDirect

What Did the Biophilia Hypothesis Get Wrong? | Psychology Today Singapore

Macro-level determinants of nature connectedness: An exploratory analysis  of 61 countries | Ambio

Miles Richardson (@findingnature) / Posts / X

Development and validation of the Nature Experiences Questionnaire: A brief  multidimensional measure of nature connection - Hague - 2025 - Applied  Psychology - Wiley Online Library

16 февраль 0 0
2023 copyright text.